728x90
반응형
728x170
SMALL
1. 수시 - 학생부종합전형


2. 수시 - 학생부교과전형


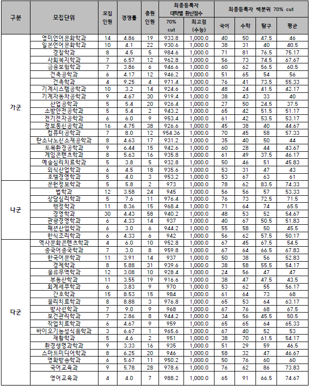
3. 정시 - 수능위주전형


728x90
반응형
그리드형
LIST
'수시 정시 입시결과' 카테고리의 다른 글
| 창원대학교 입시결과 - 수시등급. 정시 커트라인 (0) | 2021.06.22 |
|---|---|
| 차의과학대학교 입시결과 - 수시등급. 정시 커트라인 (0) | 2021.06.22 |
| 조선대학교 입시결과 - 수시등급. 정시 커트라인 (0) | 2021.06.21 |
| 전남대학교 입시결과 - 수시등급. 정시 커트라인 (0) | 2021.06.18 |
| 전북대학교 입시결과 - 수시등급. 정시 커트라인 (0) | 2021.06.18 |