728x90
반응형
728x170
SMALL
1. 수시 - 학생부종합전형
(1)지역인재전형



(2) 고교생활우수자



(3) 다문화가정/ 대안학교장추천자/ 후계농업경영인전형

2. 수시 - 학생부교과전형
(1) 일반전형



(2) 예능우수자전형

(3) 국가보훈대상자 / 특수교육대상자 / 기초생활, 차상위, 한부모가족 전형




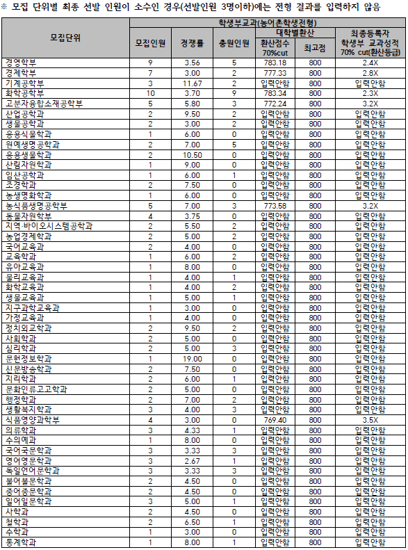
(4) 농어촌 / 특성화고교졸업자 전형




3. 정시 - 수능위주전형



728x90
반응형
그리드형
LIST
'수시 정시 입시결과' 카테고리의 다른 글
| 전주대학교 입시결과 - 수시등급. 정시 커트라인 (0) | 2021.06.21 |
|---|---|
| 조선대학교 입시결과 - 수시등급. 정시 커트라인 (0) | 2021.06.21 |
| 전북대학교 입시결과 - 수시등급. 정시 커트라인 (0) | 2021.06.18 |
| 인제대학교 입시결과 - 수시등급. 정시 커트라인 (0) | 2021.06.18 |
| 인천대학교 입시결과 - 수시등급. 정시 커트라인 (0) | 2021.06.18 |