math-son
홈
태그
방명록
수시 정시 입시결과
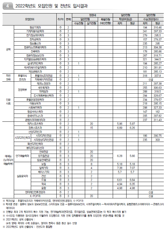
2022학년도 국제대/ 김포대/ 대경대(남양주)/ 대림대/ 동남보건대/ 동서울대 정시 모집요강 및 전년도 입시결과(정시 커트라인)
math-son
2021. 12. 20. 19:20
728x90
반응형
728x170
SMALL
※ 서울특별시교육청교육연구정보원 자료 출처
728x90
반응형
그리드형
LIST
공유하기
게시글 관리
math-son
저작자표시
비영리
변경금지
(새창열림)
'
수시 정시 입시결과
' 카테고리의 다른 글
2022학년도 수원과학대/ 수원여대/ 신구대/ 신안산대/ 안산대/ 여주대/ 연성대 정시 모집요강 및 전년도 입시결과(정시 커트라인)
(0)
2021.12.30
2022학년도 동아방송대/ 동원대/ 두원공과대/ 부천대/ 서영대(파주)/ 서울예술대 정시 모집요강 및 전년도 입시결과(정시 커트라인)
(0)
2021.12.20
2022학년도 강동대/ 경기과학기술대/ 경민대/ 경복대/ 경인여대/ 계원예술대 정시 모집요강 및 전년도 입시결과(정시 커트라인)
(0)
2021.12.20
2022학년도 서울소재 전문대학교 정시 모집요강 및 전년도 입시결과(정시 커트라인) - 동양미래대, 명지전문대, 배화여대, 삼육보건대, 서울여자간호대, 서일대, 숭의여자대, 인덕대, 한양여대
(0)
2021.12.20
2022학년도 의대, 치대, 한의대, 수의대, 약대 정시 모집 전형
(0)
2021.12.16
티스토리툴바