728x90
반응형
728x170
SMALL
1. 수시 - 학생부종합전형


2. 수시 - 학생부교과전형

(2)논술전형

(3) 실기전형

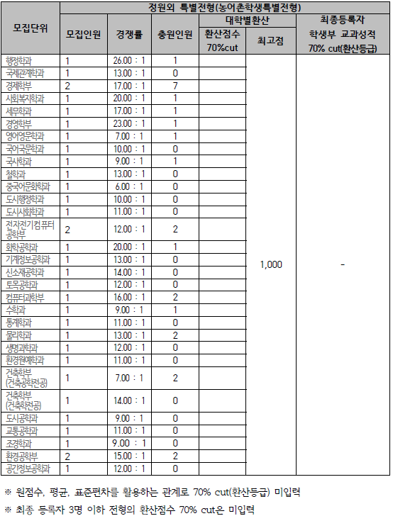
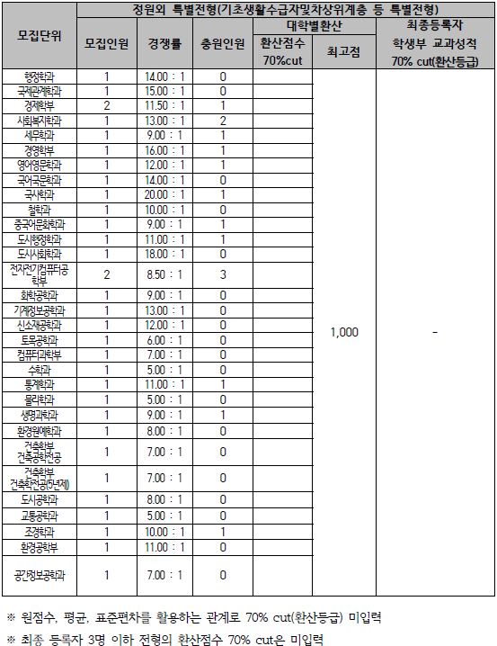
(4)특별전형(농어촌/ 특성화고교졸업자/ 기초생활수급자 및 차상위계층/ 장애인등 대상자)




3. 정시 - 수능위주전형

728x90
반응형
그리드형
LIST
'수시 정시 입시결과' 카테고리의 다른 글
| 2022학년도 대입 6월 모의평가(2021.6월 실시) 가채점 결과 지원 가능 점수 (0) | 2021.06.14 |
|---|---|
| 서울대학교 입시결과 - 수시등급. 정시 커트라인 (0) | 2021.06.11 |
| 서울과학기술대학교 입시결과 - 수시등급. 정시 커트라인 (0) | 2021.06.11 |
| 서울교육대학교 입시결과 - 수시등급. 정시 커트라인 (0) | 2021.06.11 |
| 서경대학교 입시결과 - 수시등급. 정시 커트라인 (0) | 2021.06.11 |