728x90
반응형
728x170
SMALL
- 2025학년도 단국대학교 수시모집 입시결과(죽전캠퍼스)




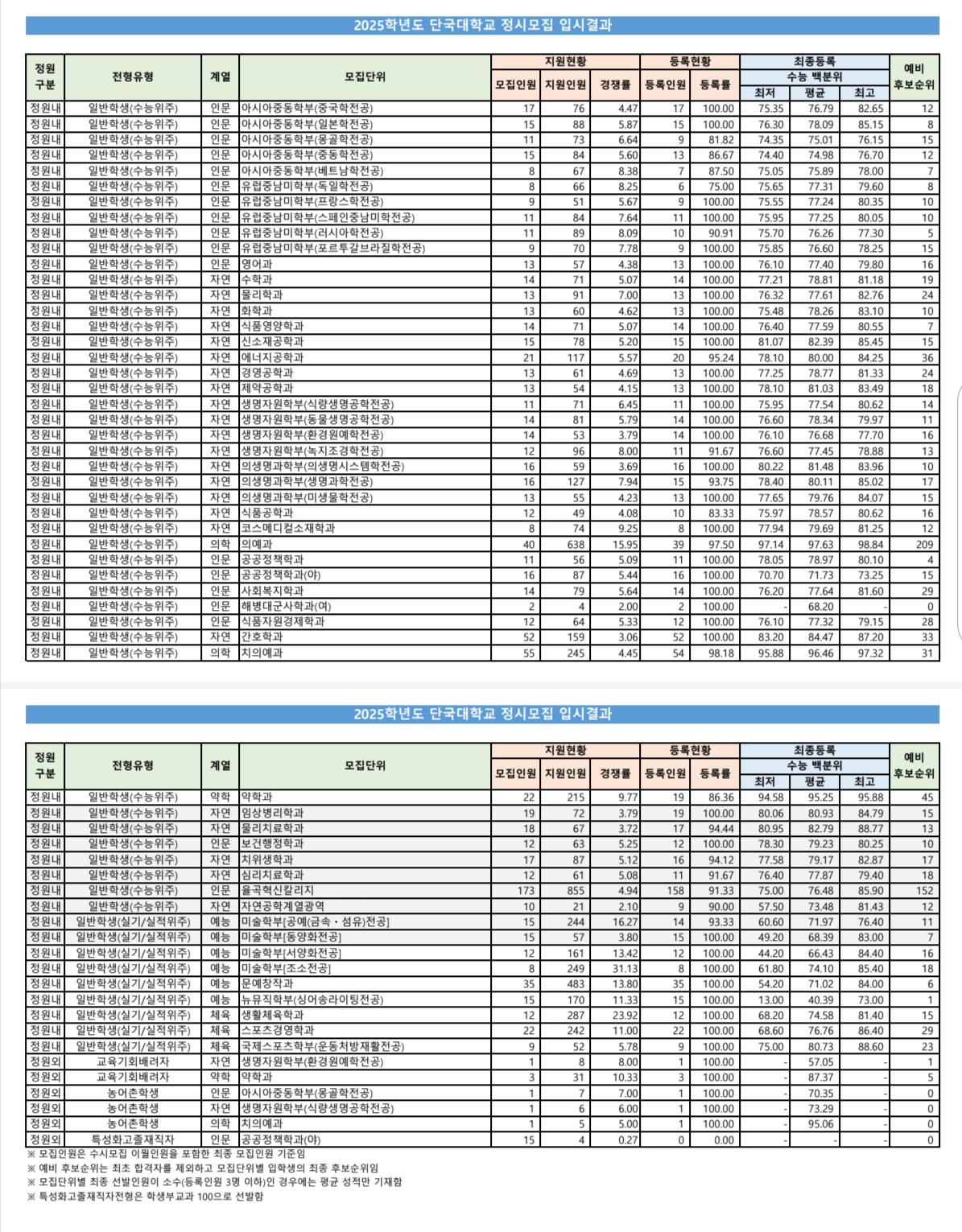
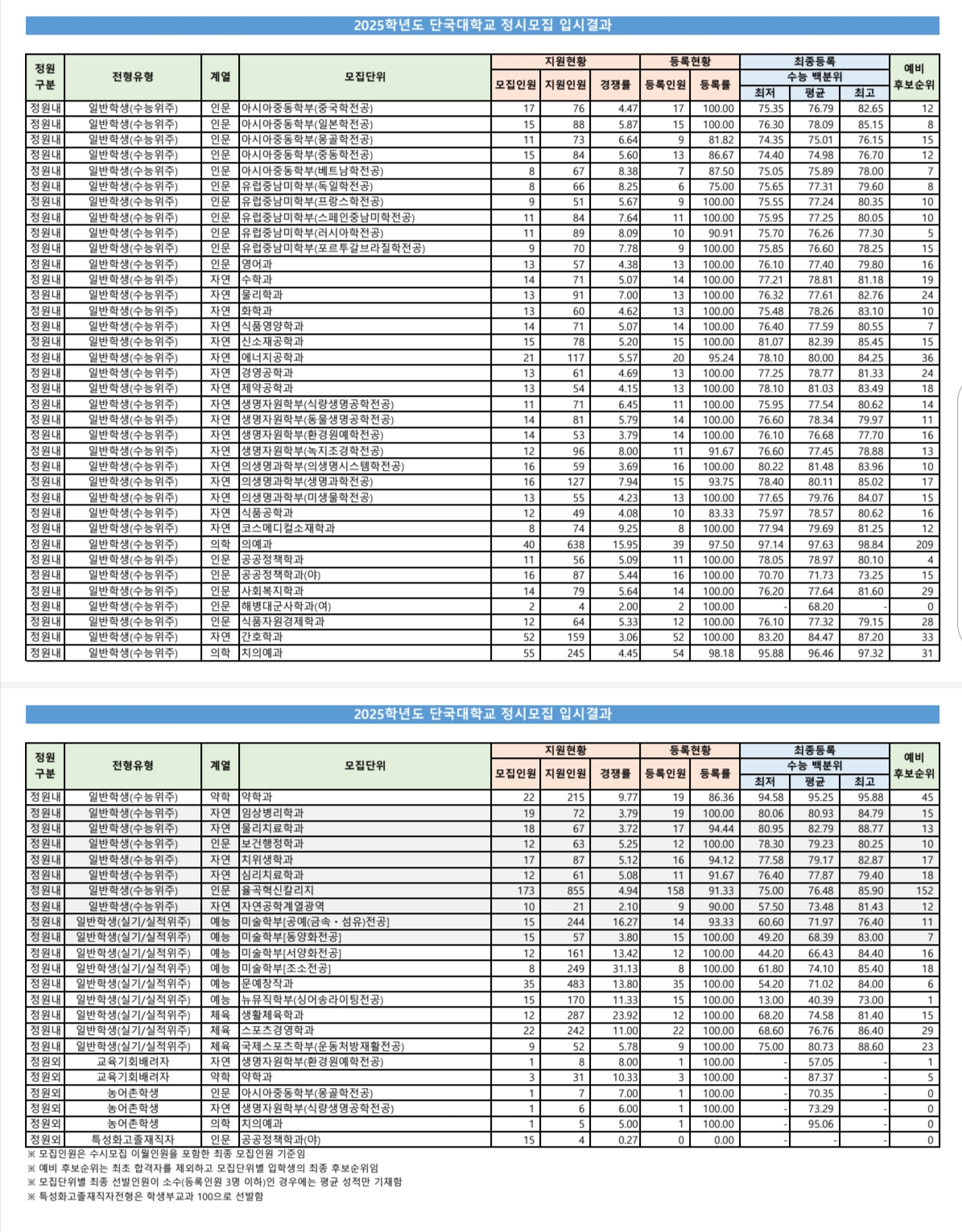
- 2025학년도 단국대학교 정시모집 입시결과(죽전캠퍼스)

- 2025학년도 신입학 입시결과_수시모집_단국대(천안캠)




- 2025학년도 신입학 입시결과_정시모집_단국대(천안캠)

728x90
반응형
그리드형
LIST
'수시 정시 입시결과' 카테고리의 다른 글
| 2025학년도 서울여대 수시 및 정시 입시결과(커트라인) (0) | 2025.05.22 |
|---|---|
| 2025학년도 경북대 수시 및 정시 입시결과(커트라인) (0) | 2025.05.21 |
| 2025학년도 인하공업전문대, 장안대, 청강문화산업대, 한국관광대, 한양여대 정시 모집 요강(반영방법 등) 및 전년도 입시결과(커트라인) (0) | 2024.12.26 |
| 2025학년도 오산대, 용인예술과학대, 웅지세무대, 유한대, 인덕대, 재능대 정시 모집 요강(반영방법 등) 및 전년도 입시결과(커트라인) (0) | 2024.12.26 |
| 2025학년도 신구대, 신안산대, 안산대, 여주대, 연성대 정시 모집 요강(반영방법 등) 및 전년도 입시결과(커트라인 (0) | 2024.12.25 |