math-son
홈
태그
방명록
수시 정시 입시결과
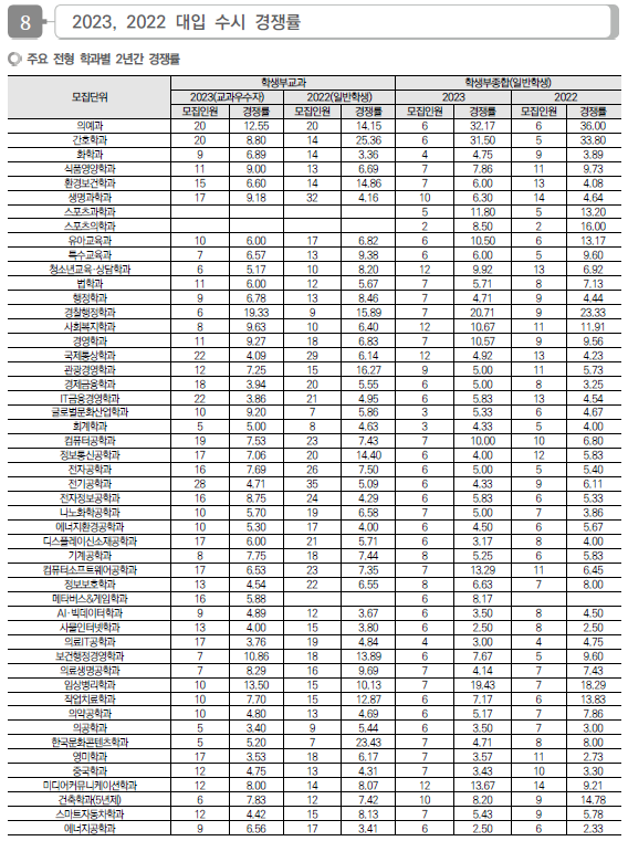
2024학년도 수원대, 순천향대, 신한대 수시 모집요강, 반영방법, 수능최저 및 2023 입시결과(커트라인)
math-son
2023. 8. 6. 15:46
728x90
반응형
728x170
SMALL
서울시교육청교육연구정보원
728x90
반응형
그리드형
LIST
공유하기
게시글 관리
math-son
저작자표시
비영리
변경금지
(새창열림)
'
수시 정시 입시결과
' 카테고리의 다른 글
2024학년도 인천대, 인하대, 차의과학대 수시 모집요강, 반영방법, 수능최저 및 2023 입시결과(커트라인)
(0)
2023.08.10
2024학년도 아주대, 연세대(미래), 용인대 수시 모집요강, 반영방법, 수능최저 및 2023 입시결과(커트라인)
(0)
2023.08.06
2024학년도 단국대(죽전), 단국대(천안) 수시 모집요강, 반영방법, 수능최저 및 2023 입시결과(커트라인)
(0)
2023.08.05
2024학년도 고려대(세종), 국립 공주대, 대진대 수시 모집요강, 반영방법, 수능최저 및 2023 입시결과(커트라인)
(0)
2023.08.05
2024학년도 건국대(글로컬), 가천대, 강릉원주대 수시 모집요강, 반영방법, 수능최저 및 2023 입시결과(커트라인)
(0)
2023.08.05
티스토리툴바