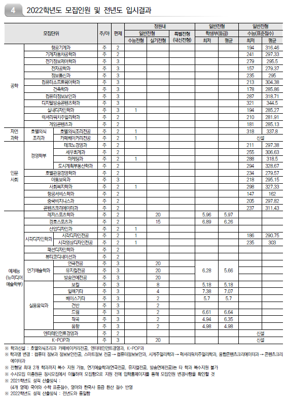
수시 정시 입시결과
2022학년도 국제대/ 김포대/ 대경대(남양주)/ 대림대/ 동남보건대/ 동서울대 정시 모집요강 및 전년도 입시결과(정시 커트라인)
math-son
2021. 12. 20. 19:20
728x90
반응형
728x170
SMALL
※ 서울특별시교육청교육연구정보원 자료 출처












728x90
반응형
그리드형
LIST