수시 정시 입시결과
전주대학교 입시결과 - 수시등급. 정시 커트라인
math-son
2021. 6. 21. 17:12
728x90
반응형
728x170
SMALL
1. 수시 - 학생부종합전형


2. 수시 - 학생부교과전형


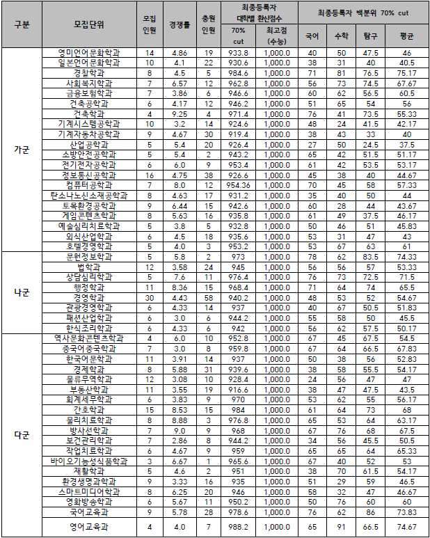
3. 정시 - 수능위주전형


728x90
반응형
그리드형
LIST