수시 정시 입시결과
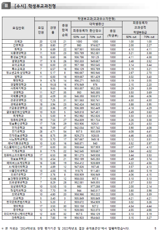
2023학년도 숙명여대, 순천향대 수시, 정시 입시결과(커트라인)
math-son
2023. 8. 23. 18:49
728x90
반응형
728x170
SMALL


















728x90
반응형
그리드형
LIST